Skip to content

Judicial Watch, Inc. is a conservative, non-partisan educational foundation, which promotes transparency, accountability and integrity in government, politics and the law.

Judicial Watch, Inc. is a conservative, non-partisan educational foundation, which promotes transparency, accountability and integrity in government, politics and the law.

Because no one
is above the law!

Donate

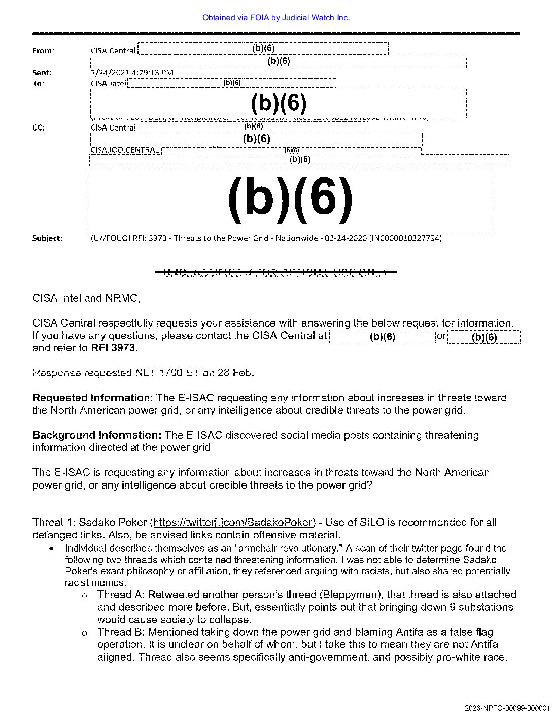
CISA DHS Social Media Records July 2024 pgs 4-5

Related

Judicial Watch Sues for Gain-of-Function Records

Hearing Set in Judicial Watch Lawsuit on NIH Royalty Payments Judicial Watch Sues Defense Department for Gain-of-Function Records Judicial Watch Sues Treasury on Covering Larry Su...

Court Sets Evidentiary Hearing in Judicial Watch Lawsuit on NIH Royalty Payments to Government…

Press Releases | March 06, 2026
Judicial Watch litigation previously forced disclosure of more than $1 billion in NIH royalty payments marked for inventors; court will now examine whether NIH can keep secret how...

Judicial Watch Sues Treasury Dept on Covering of Former Treasury Sec Larry Summers’ Official…

Press Releases | March 05, 2026
(Washington, DC) – Judicial Watch announced today that it filed a Freedom of Information Act (FOIA) lawsuit against the U.S. Department of Treasury for records regarding the cover...