Skip to content

Judicial Watch, Inc. is a conservative, non-partisan educational foundation, which promotes transparency, accountability and integrity in government, politics and the law.

Judicial Watch, Inc. is a conservative, non-partisan educational foundation, which promotes transparency, accountability and integrity in government, politics and the law.

Because no one
is above the law!

Donate

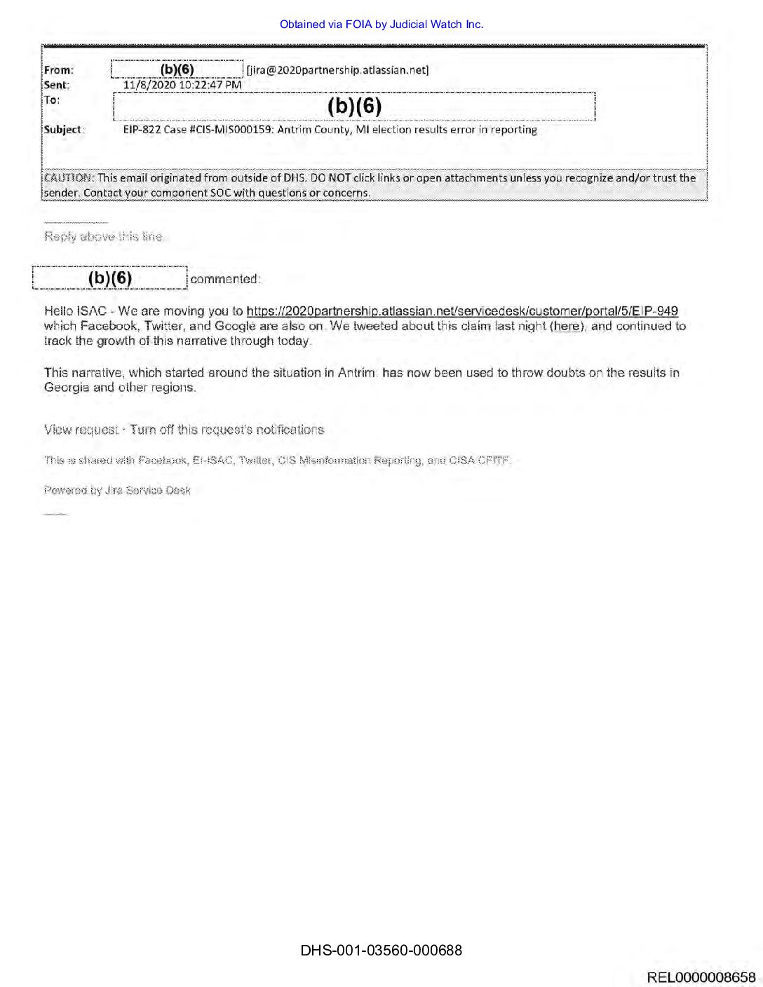
JW v DHS CISA 274 records 03560 pg 2

Related

Kash Crisis: What is the FBI Hiding?

Investigative Bulletin | March 10, 2026
FBI Director Kash Patel has repeatedly vowed to bring accountability and transparency to the agency, but his tenure at the top is increasingly looking like business as usual. Judi...

Public School District Pays $650k Settlement for Firing Teacher over Trans Students’ Preferred Pronouns

Corruption Chronicles | March 10, 2026
For the second time in less than two years a small public school district is paying over half a million dollars in damages to settle a case involving a teacher it fired for declin...

Reparations commission releases report on harms against black citizens, calls for lawmakers to act

In The News | March 09, 2026
From BizPac Review: As had been reported in February, the Chicago suburb of Evanston, Illinois, which had officially begun its mission of reparations in 2019, had announced anothe...