Skip to content

Judicial Watch, Inc. is a conservative, non-partisan educational foundation, which promotes transparency, accountability and integrity in government, politics and the law.

Judicial Watch, Inc. is a conservative, non-partisan educational foundation, which promotes transparency, accountability and integrity in government, politics and the law.

Because no one
is above the law!

Donate

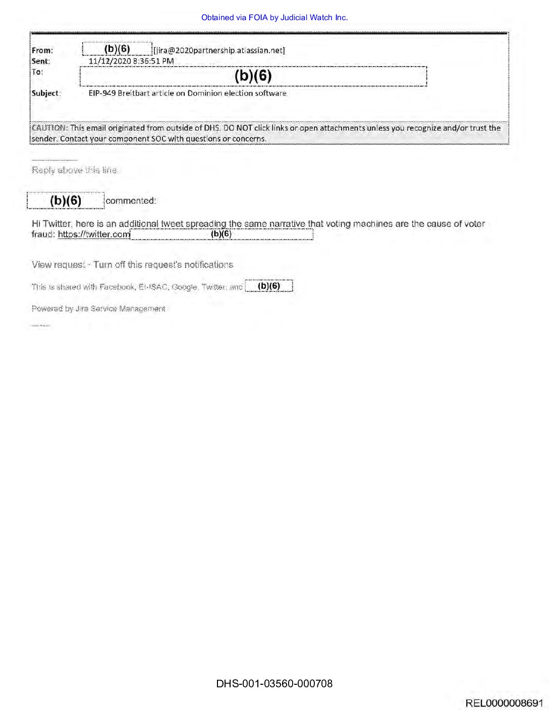
JW v DHS CISA 274 records 03560 pg 22

Related

Update: Names of Jack Smith’s Deputies Exposed!

Judicial Watch Obtains Rosters Identifying Jack Smith’s Top Deputies Court Orders Release of The Covenant School Shooting Records Judicial Watch Sues for FBI Public Corruption Uni...

Judicial Watch Victory: Tennessee Court of Appeals Orders Release of The Covenant School Shooting…

Press Releases | February 06, 2026
(Washington, DC) – Judicial Watch announced today a major legal victory after the Tennessee Court of Appeals ruled that the Metropolitan Government of Nashville and Davidson Count...

Election Integrity: The Furor Over Fulton County

Investigative Bulletin | February 06, 2026
The controversy over the 2020 presidential election took a sharp turn last week when the FBI executed a search warrant at the offices of the Fulton County Election Board in Georgi...