Skip to content

Judicial Watch, Inc. is a conservative, non-partisan educational foundation, which promotes transparency, accountability and integrity in government, politics and the law.

Judicial Watch, Inc. is a conservative, non-partisan educational foundation, which promotes transparency, accountability and integrity in government, politics and the law.

Because no one
is above the law!

Donate

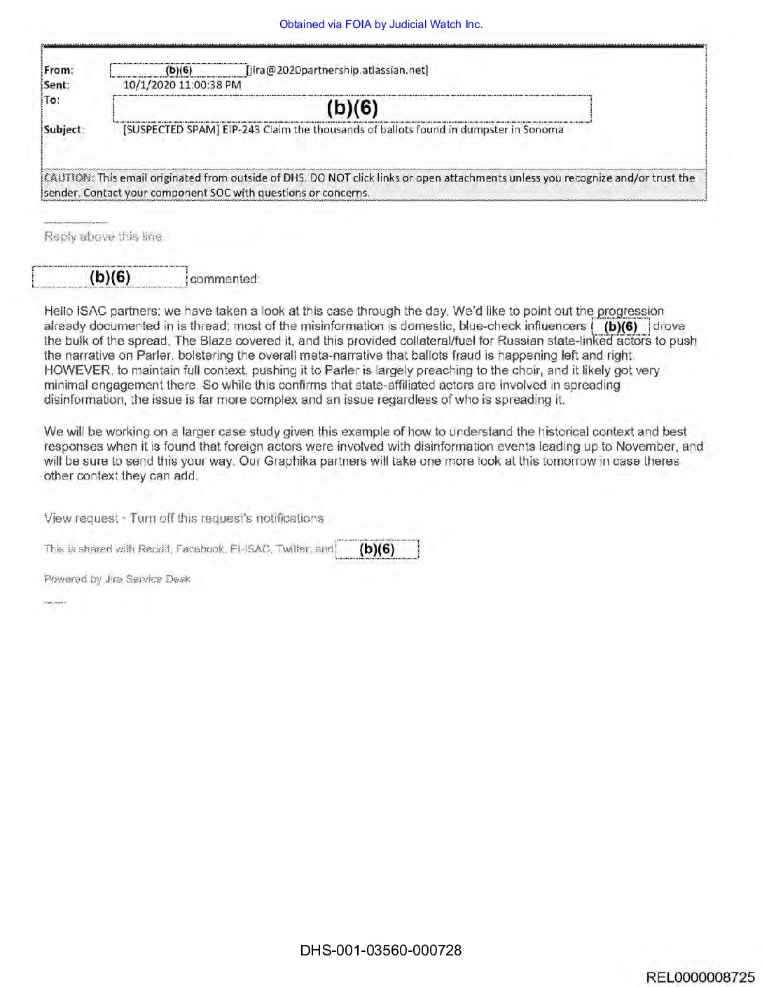
JW v DHS CISA 274 records 03560 pg 42

Related

Judicial Watch Sues Walz for Refusing School Security

Judicial Watch Sues Gov. Walz for Refusing Security at Nonpublic Schools Judicial Watch Sues for Records on Grants to Left-Wing European NGOs Nearly Twice as Many Illegal Alien Ch...

Judicial Watch Sues Minnesota Governor Over School Security Funding Records

In The News | March 13, 2026
From The National Catholic Register: A government watchdog group has filed a lawsuit against Minnesota Gov. Tim Walz, claiming state officials failed to respond to a public record...

Nearly Twice as Many Illegal Alien Child Sex Offenders Arrested under Trump Compared to…

Corruption Chronicles | March 12, 2026
In yet another noteworthy immigration enforcement accomplishment ignored by establishment media, the Trump administration nearly doubled the number of illegal alien child sex offe...