Skip to content

Judicial Watch, Inc. is a conservative, non-partisan educational foundation, which promotes transparency, accountability and integrity in government, politics and the law.

Judicial Watch, Inc. is a conservative, non-partisan educational foundation, which promotes transparency, accountability and integrity in government, politics and the law.

Because no one
is above the law!

Donate

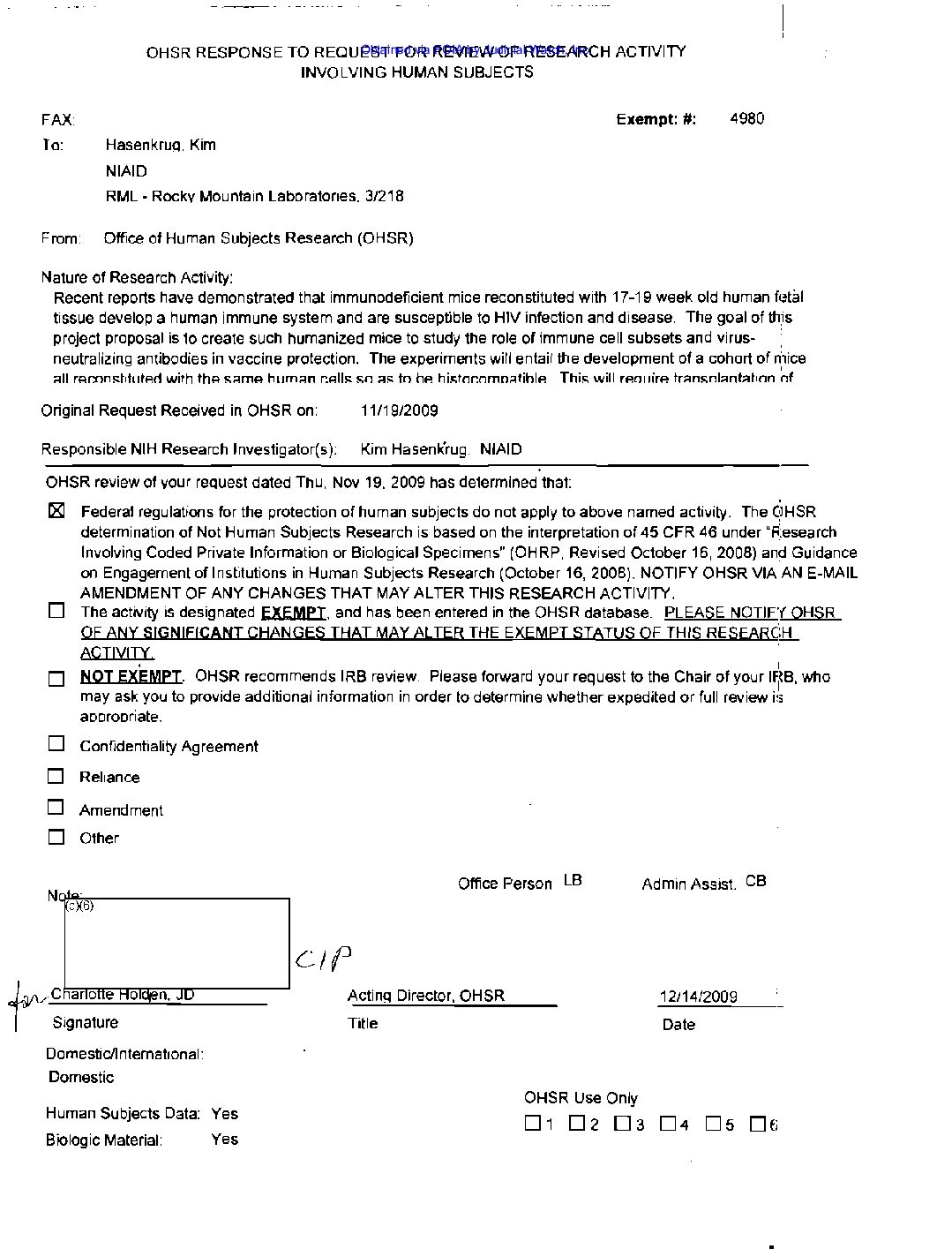
JW v HHS Humanized Mice prod 1 00876 pgs 7-12

Related

Judicial Watch Sues Secret Service for Records on Obama-Era Cartagena Prostitution Scandal

Press Releases | May 20, 2026
(Washington, DC) – Judicial Watch announced today that it filed a Freedom of Information Act (FOIA) lawsuit for records related to the Obama-era 2012 U.S. Secret Service prostitut...

Judicial Watch Sues California to Clean Up 873,000 Inactive Voter Registrations on Rolls

Press Releases | May 20, 2026
(Washington, DC) – Judicial Watch announced today it filed a federal lawsuit on behalf of a California political candidate and a state political party against the State of Califor...

Judicial Watch Sues FBI, CIA, DIA, ODNI, and ICE for Records on ‘Havana Syndrome’…

Press Releases | May 19, 2026
(Washington, DC) – Judicial Watch announced today that it has filed a federal Freedom of Information Act (FOIA) lawsuit against the U.S. Department of Justice and four other feder...