Skip to content

Judicial Watch, Inc. is a conservative, non-partisan educational foundation, which promotes transparency, accountability and integrity in government, politics and the law.

Judicial Watch, Inc. is a conservative, non-partisan educational foundation, which promotes transparency, accountability and integrity in government, politics and the law.

Because no one
is above the law!

Donate

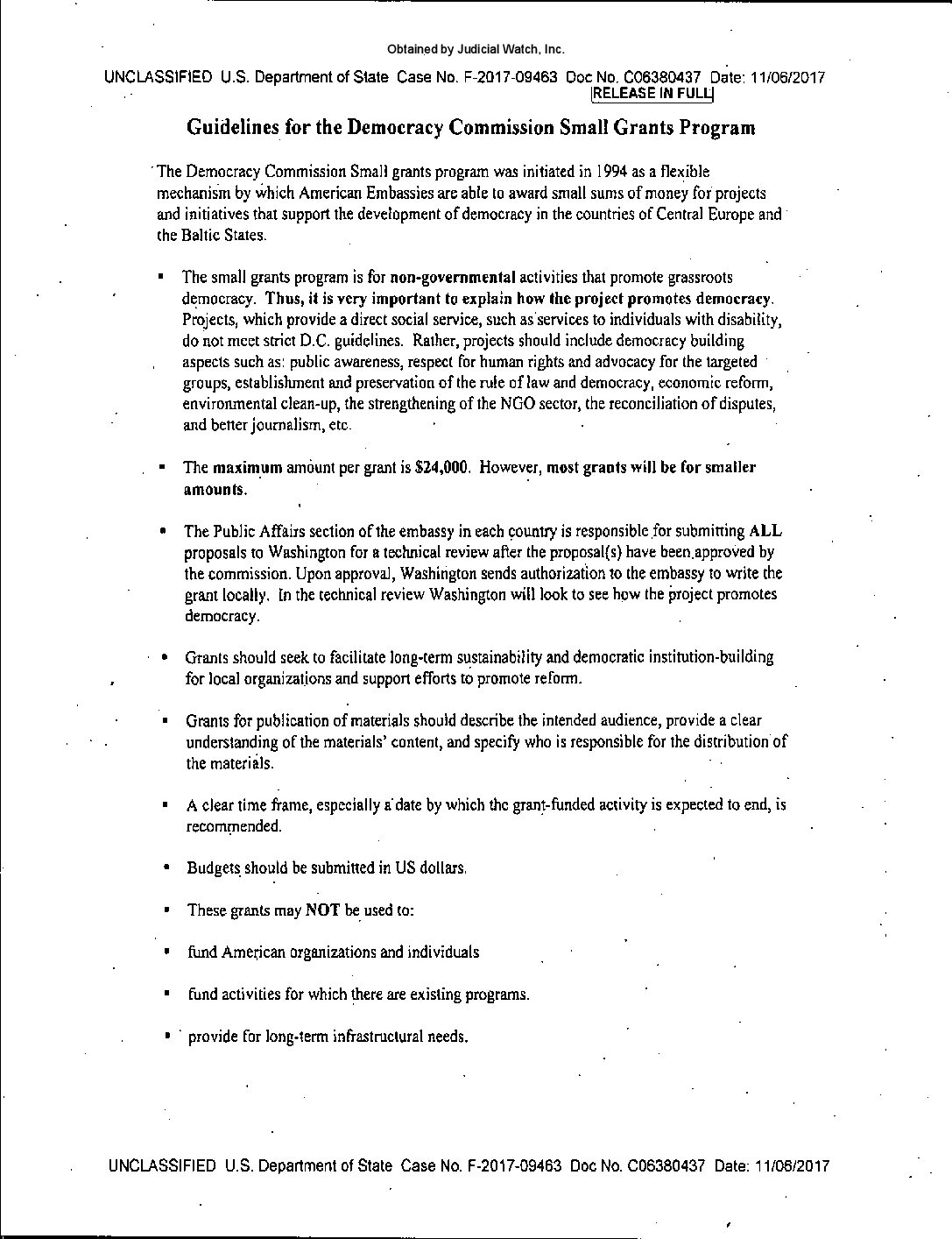
JW v State Soros Albania docs 01012 pg 20-21

Related

VICTORY: Historic Supreme Court Election Law Ruling

The Most Important Supreme Court Election Law Ruling in a Generation Judicial Watch Sues to Reveal Biden Cover-Up on Iran Nuclear Program Judicial Watch Sues Over Firing of Associ...

Judicial Watch Sues for Records Tied to Biden Administration Cover-Up on Iran Nuclear Program

Press Releases | January 16, 2026
(Washington, DC) – Judicial Watch announced today it filed a Freedom of Information Act (FOIA) lawsuit against the Office of the Director of National Intelligence (ODNI) for recor...

Supreme Court Upholds Candidate Standing in Ballot Counting Case

In The News | January 15, 2026
From Daily Signal: Judicial Watch represented the plaintiffs in the case. “This is the most important Supreme Court election law ruling in a generation,” Judicial Watch President ...