Skip to content

Judicial Watch, Inc. is a conservative, non-partisan educational foundation, which promotes transparency, accountability and integrity in government, politics and the law.

Judicial Watch, Inc. is a conservative, non-partisan educational foundation, which promotes transparency, accountability and integrity in government, politics and the law.

Because no one
is above the law!

Donate

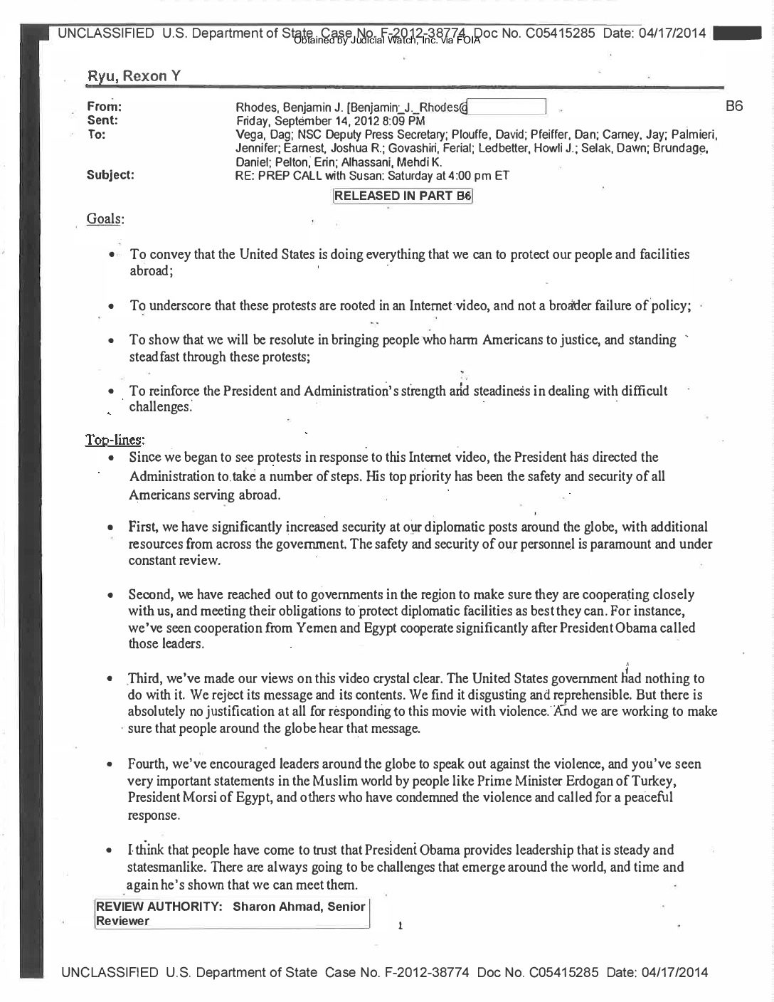
Rhodes-Email

Related

Judicial Watch Sues Justice Dept for Records on Columbia Professor in Biden-Era Short Selling…

Press Releases | February 17, 2026
(Washington, DC) – Judicial Watch announced today it filed a Freedom of Information Act (FOIA) lawsuit against the U.S. Department of Justice for records concerning Columbia Unive...

FBI forced to release damning docs revealing chilling new details on Trump's would-be assassin

In The News | February 13, 2026
From The Blaze: Judicial Watch obtained heavily redacted documents from the Federal Bureau of Investigation showing that law enforcement broadcast radio warnings about an “u...

Trump Assassination Attempt Update!

FBI Reveals Warnings about Suspicious Person at Trump Shooting in Butler Judicial Watch Senior Attorney T. Russell Nobile Testified on Election Integrity Judicial Watch Asks Supre...