Skip to content

Judicial Watch, Inc. is a conservative, non-partisan educational foundation, which promotes transparency, accountability and integrity in government, politics and the law.

Judicial Watch, Inc. is a conservative, non-partisan educational foundation, which promotes transparency, accountability and integrity in government, politics and the law.

Because no one
is above the law!

Donate

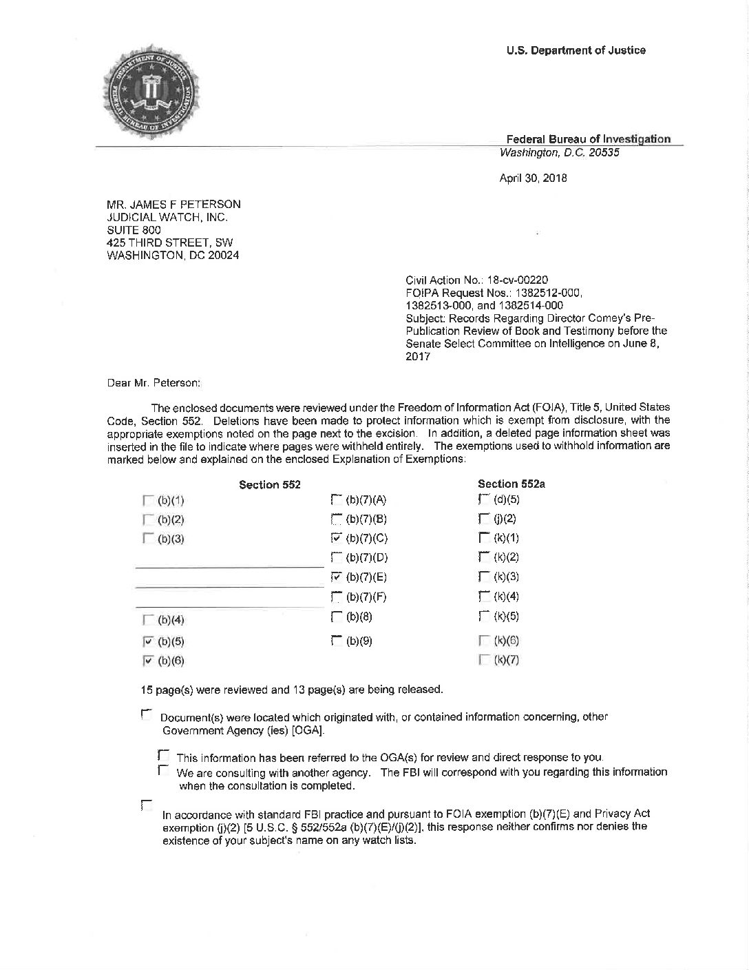
JW v DOJ Comey testimony records 00220

Related

Altercation at Trump Rally Prior to Shooting

FBI Records Reveal Altercation at Trump Rally Site before Shooting Judicial Watch Sues National Intelligence for Records on Covid-19 Origins Judicial Watch Sues Justice for Record...

Judicial Watch: FBI Records Reveal Altercation at Trump Rally Site before Shooting

Press Releases | April 17, 2026
‘Crooks Was Making “Hateful” Comments Toward Trump’ (Washington, DC) – Judicial Watch announced today that it forced the release of 27 heavily redacted pages from the Federal Bur...

Judicial Watch Sues National Intelligence Director for Records on Covid-19 Origins and Coronavirus Research

Press Releases | April 16, 2026
(Washington, DC) – Judicial Watch announced today that it filed a Freedom of Information Act (FOIA) lawsuit against the Office of the Director of National Intelligence (ODNI) for ...