Skip to content

Judicial Watch, Inc. is a conservative, non-partisan educational foundation, which promotes transparency, accountability and integrity in government, politics and the law.

Judicial Watch, Inc. is a conservative, non-partisan educational foundation, which promotes transparency, accountability and integrity in government, politics and the law.

Because no one
is above the law!

Donate

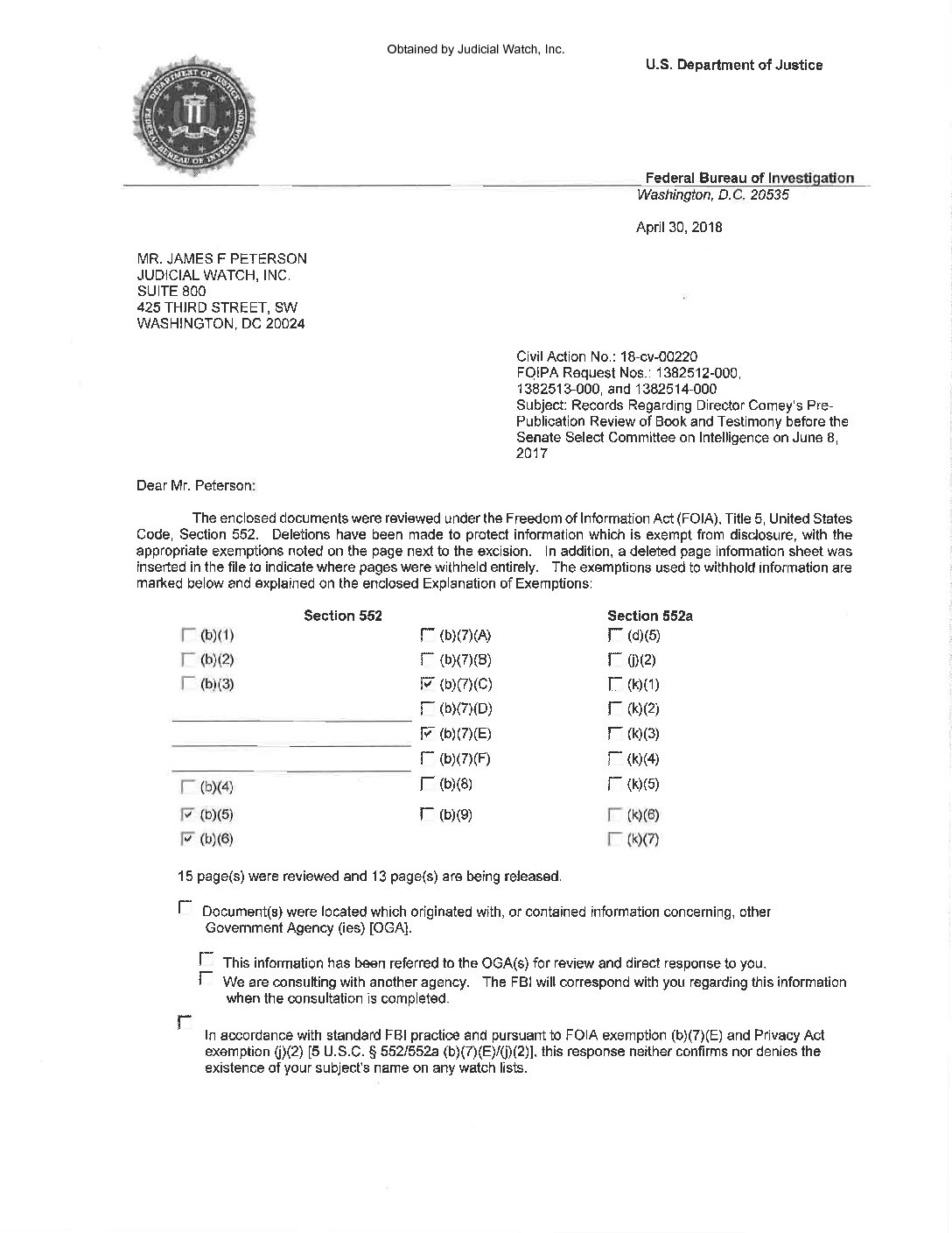
JW v DOJ Comey testimony records 00220

Related

Judicial Watch Sues Justice Depart for FBI Communications Celebrating Prosecution of Trump Adviser Peter…

Press Releases | January 21, 2026
(Washington, DC) – Judicial Watch announced today it filed a Freedom of Information Act (FOIA) lawsuit against the U.S. Department of Justice for communications of Federal Bureau ...

Judicial Watch Sues Justice Department for Withheld and Missing Records on Crossfire Hurricane/Russiagate Investigation

Press Releases | January 21, 2026
(Washington, DC) – Judicial Watch announced today it filed a Freedom of Information Act (FOIA) lawsuit against the U.S. Department of Justice for fully unredacted records and prev...

Americans Pay Over a Billion Dollars a Year to Subsidize Illegal Aliens’ College Education

Corruption Chronicles | January 21, 2026
Although a 30-year-old federal law prohibits giving illegal aliens discounted in-state tuition at public colleges and universities, 22 states and the District of Columbia still do...