Skip to content

Judicial Watch, Inc. is a conservative, non-partisan educational foundation, which promotes transparency, accountability and integrity in government, politics and the law.

Judicial Watch, Inc. is a conservative, non-partisan educational foundation, which promotes transparency, accountability and integrity in government, politics and the law.

Because no one
is above the law!

Donate

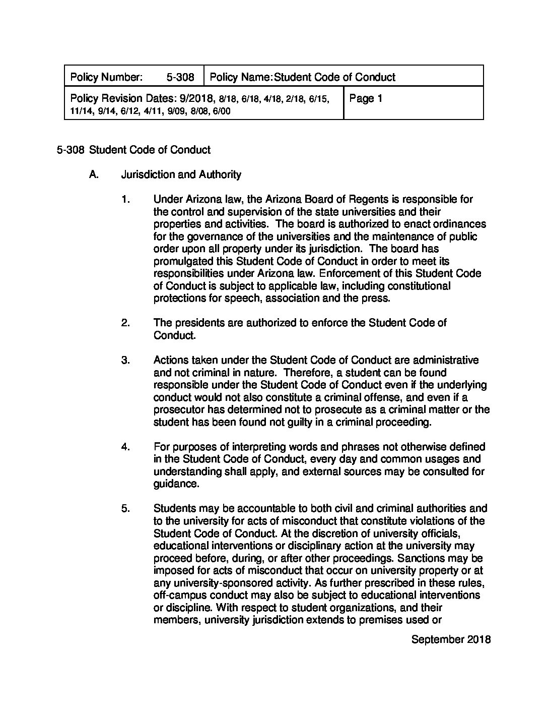
UAstudentcodeconduct

Related

Colorado Removes 372,000 Inactive Voters from its Rolls after Lawsuit

Judicial Watch Sues for Search Warrants in Rudy Giuliani Raid Colorado Removes 372,000 Inactive Voters from its Rolls after Lawsuit Judicial Watch Election Integrity Team to Monit...

Judicial Watch Election Integrity Team to Monitor Hungary’s Elections

Press Releases | April 09, 2026
(Washington, DC) – Judicial Watch announced today that an eight-member election-integrity team will monitor the April 12 Hungarian parliamentary elections. The vote will determine...

Judicial Watch: 372,000 Inactive Voters Removed from Colorado Voter Rolls after Lawsuit and Settlement

Press Releases | April 08, 2026
Six Million Inactive Names Removed Nationwide Due to Judicial Watch (Washington, DC) – Judicial Watch announced today that 372,000 ineligible voter names have been removed from Co...