Skip to content

Judicial Watch, Inc. is a conservative, non-partisan educational foundation, which promotes transparency, accountability and integrity in government, politics and the law.

Judicial Watch, Inc. is a conservative, non-partisan educational foundation, which promotes transparency, accountability and integrity in government, politics and the law.

Because no one
is above the law!

Donate

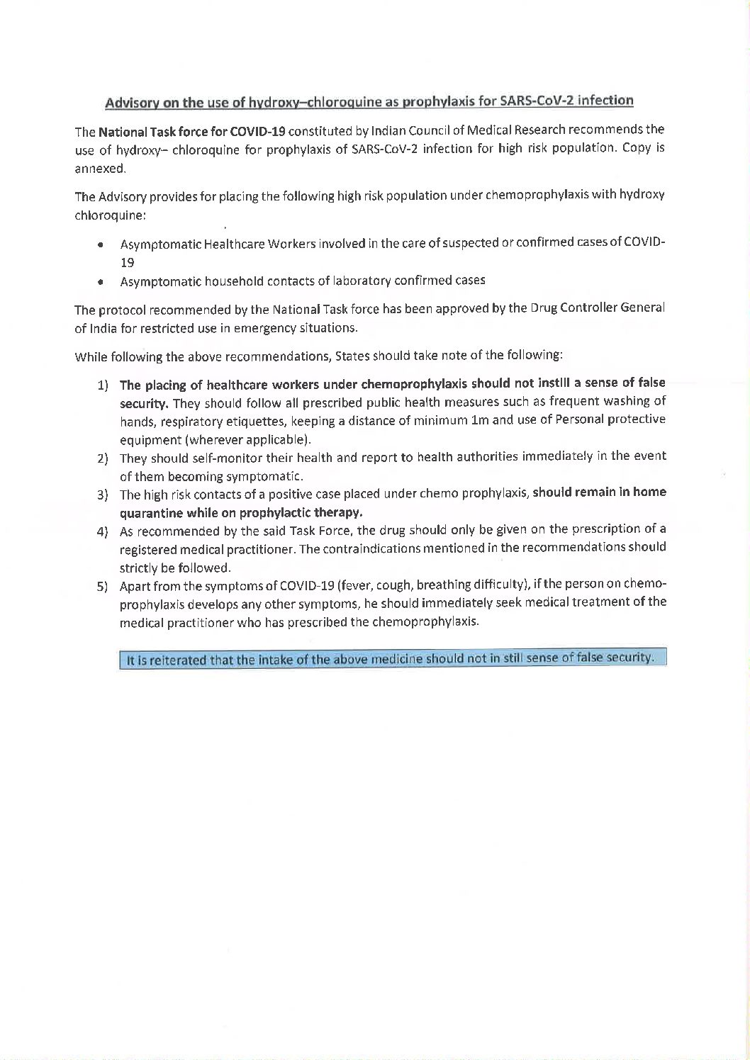
Indian Government Advisory


Related

TSA Can’t Assure Mexican Border Air Marshal Assignments Did Not Impact Transportation Security

Corruption Chronicles | July 11, 2024
The federal agency created after 9/11 to protect the nation’s transportation system has no idea how aviation security was impacted when it plucked Federal Air Marshal Service (FAM...

Judicial Watch: DC Board of Elections Records Reveal 583 Foreign Nationals are Registered Vote…

Press Releases | July 10, 2024
(Washington, DC) – Judicial Watch announced today that it received records showing that as of June 583 foreign nationals are registered to vote in Washington, DC. The records from...

Packs of “Fighting Age Males” in Military Uniforms Entering U.S. through Remote Arizona Town

Corruption Chronicles | July 09, 2024
As the nation’s largest southern border crossings finally receive mainstream media coverage years into an unprecedented illegal immigration crisis, untold numbers of “fighting ...