Skip to content

Judicial Watch, Inc. is a conservative, non-partisan educational foundation, which promotes transparency, accountability and integrity in government, politics and the law.

Judicial Watch, Inc. is a conservative, non-partisan educational foundation, which promotes transparency, accountability and integrity in government, politics and the law.

Because no one
is above the law!

Donate

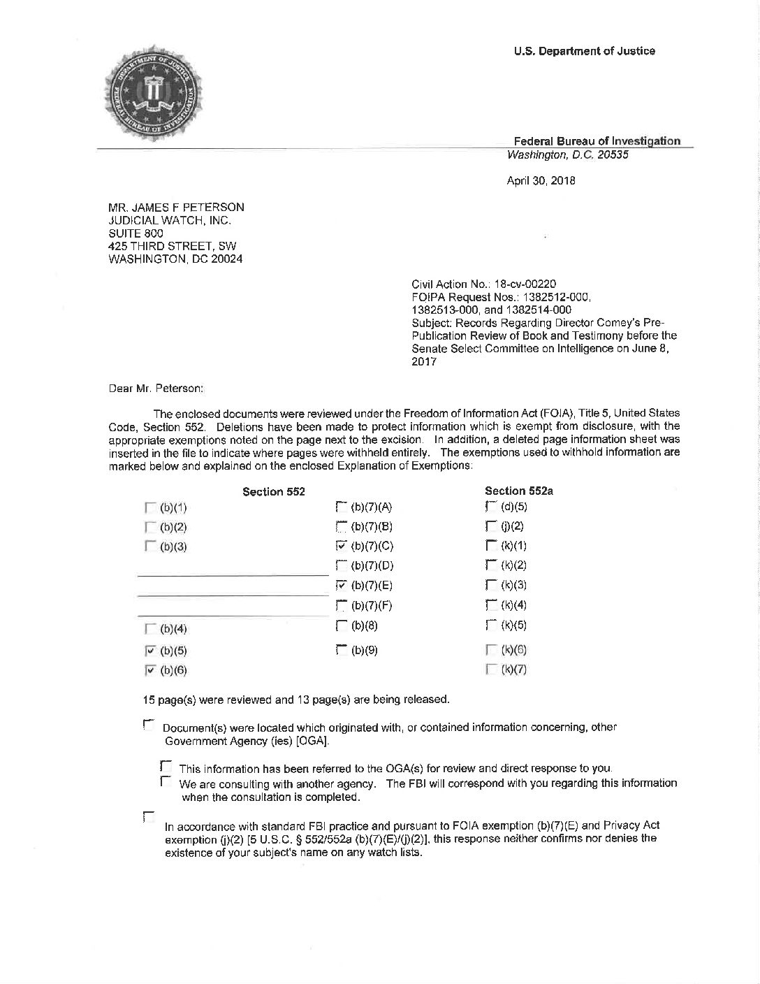
JW v DOJ Comey testimony records 00220

Related

Judicial Watch Sues Justice Dept for FBI Records on Hunter Biden’s Infamous Laptop

Press Releases | December 09, 2025
(Washington, DC) – Judicial Watch announced today it filed a Freedom of Information Act (FOIA) lawsuit against the U.S. Department of Justice for all FBI investigative records con...

Judicial Watch Sues Justice Department for FBI Records on Hillary Clinton’s Brother, Tony Rodham

Press Releases | December 08, 2025
(Washington, DC) – Judicial Watch announced today it filed a Freedom of Information Act (FOIA) lawsuit against the U.S. Department of Justice for FBI records on Hillary Clinton’s ...

Failed U.S. Plan to Rebuild Afghanistan Cost $145 Billion with Hundreds of Millions Going…

Corruption Chronicles | December 08, 2025
For nearly two decades the U.S. government spent a breathtaking $145 billion on a failed plan to rebuild Afghanistan and at least $26 billion of it was lost to waste, fraud and ab...