Judicial Watch
Search
Search
New Election Integrity Map!
*
Δ
News
TOM FITTON'S JUDICIAL WATCH WEEKLY UPDATE
CORRUPTION CHRONICLES
PRESS RELEASES
INVESTIGATIVE BULLETIN
THE VERDICT
Latest
Trump Chose Transparency Over a Payout. His…
Recent
Cleaning Up California’s Voter Rolls
Judicial Watch Asks Court to Unseal NIH…
Victory: Court Rules AG Kris Mayes’ Office…
Supreme Court Victory!
Fighting for Election Integrity
Altercation at Trump Rally Prior to Shooting
View All
Latest
Soros-Funded Prosecutor Offers Illegal Immigrants Charged with…
Recent
Transgender Day of Visibility on Easter Among…
In Latest COVID Relief Fraud Case Chinese…
Biden Judge Rules Muslim Terrorist Has Religious…
States Keep Offering Illegal Aliens Discounted Tuition…
Illegal Alien “Gangster” Sold Drugs, Machine Guns…
Public School Dist. That Let 19-year-old Illegal…
View All
Latest
Judicial Watch Sues CIA for Brennan’s Notes…
Recent
Judicial Watch Sues CIA for Records on…
Judicial Watch Sues Secret Service for Records…
Judicial Watch Sues California to Clean Up…
Judicial Watch Sues FBI, CIA, DIA, ODNI,…
Judicial Watch Obtains Court-Ordered Release of 911…
Judicial Watch Sues EPA for Records on…
View All
Latest
Judicial Watch’s Historic Day at the Supreme…
Recent
Kash Crisis: What is the FBI Hiding?
Election Integrity: The Furor Over Fulton County
Russiagate: The Comey Conspiracy
FBI’s Patel and Bongino: Hostages of the…
Election Integrity Update: Five Million Names Cleaned…
Judicial Watch Battles for Election Integrity
View All
Videos
TOM FITTON'S VIDEO WEEKLY UPDATE
JW: ON THE AIR
CLIPS
CHRIS FARRELL'S ON WATCH
JW ON ISSUE
JUDICIAL WATCH TV
Latest
Judicial Watch Defends “Election Day” at the…
Recent
JUDICIAL WATCH SUES CALIFORNIA TO CLEAN UP…
More COVID Secrets Exposed, Left Has Gone…
Massive Election Integrity Update! Supreme Court Election…
Up to 1.9 Million FBI Files Found…
EXCLUSIVE: Trump Butler Shooting Records, PLUS 6,000,000…
MASSIVE Colorado Voter Roll Clean Up!
View All
Latest
FARRELL: Judicial Watch Sues for info on…
Recent
FARRELL: Judicial Watch will Continue to Clean…
800,000 Dirty Names to be Removed from…
FITTON: Oregon's Voter Rolls Will be Cleaner…
Oregon Agrees to Remove 800,000 Inactive Voters…
800,000 Dirty Names Cleaned from Oregon Voter…
FITTON: The Left and Media are Inciting…
View All
Latest
Stacey Abrams-Linked Group Got $2 Billion!
Recent
Republican-Controlled Senate is AWOL!
Judicial Watch Sues California Over 873,000 Ineligible…
Chilling 911 Call From Butler Shooter’s Father
A Special Memorial Day Message from Tom…
DOJ Indicts Fauci Advisor!
FDA Court Battle for Abortion Pill Info
View All
Latest
TWA Captain Al Francis: What Really Happened…
Recent
Former FBI Agent John Shipley on “Fast…
Jack Cashill on TWA 800, The Clintons…
Jesse Trentadue on the FBI, OKC Bombing,…
UAP Whistleblower David Grusch on “Non-human” Biologics…
TWA 800 Crash Exposed w/Dr Tom Stalcup
“Way Worse Than I Thought!” - Rep…
View All
Latest
Judicial Watch Exposes Shocking "Arctic Frost" Details!
Recent
Meet the “Lincoln Law” That’s Saved $59…
Judicial Watch Takes Election Integrity Fight to…
MASSIVE: Judicial Watch Takes Election Integrity Fight…
USAID Secrets of the Biden Administration
FANI WILLIS CAUGHT--AGAIN!
LAWSUIT: Judicial Watch vs Woke Reparations!
View All
Podcasts
TOM FITTON’S WEEKLY UPDATE PODCAST
CHRIS FARRELL’S ON WATCH PODCAST
Documents
Judicial Watch
About
MISSION
LEGAL
TEAM
CAREERS
CONTACT
Take Action
DONATE
SHOP
THE VERDICT
SIGN NOW
Donate
EXPLORE NEWS
TOM FITTON’S WEEKLY UPDATE
PRESS RELEASES
CORRUPTION CHRONICLES
IN THE NEWS
INVESTIGATIVE BULLETIN
MEDIA & RESOURCES
VIDEOS
PODCASTS
DOCUMENTS
ELECTION INTEGRITY MAP
TAKE ACTION & GET INVOLVED
DONATE
PETITIONS
SHOP
GET OUR TEXT ALERTS
THE VERDICT
ABOUT
MISSION
LEGAL
TEAM
CAREERS
CONTACT
INFORMATION
LAWSUITS & LEGAL ACTIONS
OPEN RECORDS LAW RESOURCES
THE INTERNATIONAL PROGRAM
DONATE
TAKE ACTION
GET OUR TEXT ALERTS
SHOP
HOME
Search
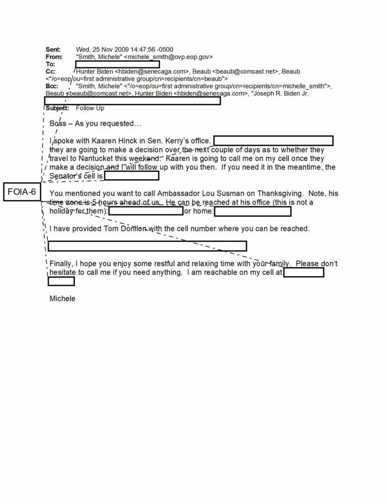
National Archives add records 1 01432 pg 11
Share:
National Archives add records 1 01432 pg 11
Visited 6 times, 1 visit(s) today
*
Δ